glas-musterbuch.de
Musterbücher
Impressum
pressglas-pavillon.de
www.glas-musterbuch.de
>>
Polen
>>
Ząbkowice
>>
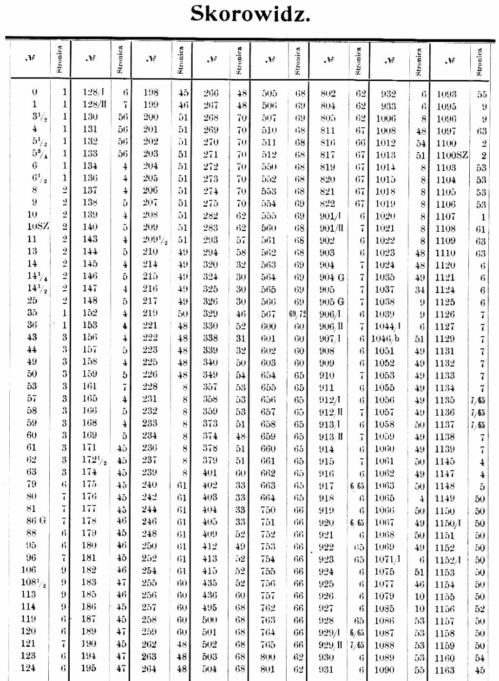
Ząbkowice 1920
<<
Index
Ząbkowice 1920
>>
40626292 Seitenaufrufe — Letzte Aktualisierung: 27.09.2024